Estimating an infinite
population mean

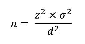
Formula:

Standard deviation (σ) =

Error (d) =

Alpha (α) =
0.05
0.01

Z =

Result:

Reference:
Wayne W.,D. (1995) Biostatistics: A Foundation of Analysis in the Health Sciences (6th ed.). John Wiley&Sons,Inc.,177-178.